使用法布里-珀羅開放式諧振器進行D頻段Dk/Df測量
QWED提供的法布里珀羅開放式諧振器 (FPOR) 只需使用一個夾具,即可在110 ghz至170 ghz的頻率范圍內準確表征介電薄片。

軟件控制的法布里-珀羅開放式諧振器裝置,配備一臺R & S?ZNA26矢量網絡分析儀和兩臺R & S?ZC170毫米波變頻器。
您的任務
您需要了解自己生產或從第三方制造商處購買的材料介電片的微波特性。這些知識對于優化材料生產工藝或設計毫米波電路(例如用于6g技術)都非常有用。
這些材料包括聚合物(例如聚丙烯、聚氯乙烯)、PCB基板(例如FR-4、RT5880)、玻璃(例如熔融石英、硼硅酸鹽)或單晶硅片(例如石英、藍寶石)。材料的損耗正切可低至1 × 10-4,但仍能在110 ghz至170 ghz范圍內進行精確測量。如果非諧振測量夾具(例如基于自由空間或波導的解決方案)無法滿足您的D頻段測量要求,可以嘗試使用法布里珀羅開放式諧振器 (FPOR)。

基于FPOR的解決方案
FPOR提供了一種精確的技術,可以在110 GHz到170 GHz的頻率范圍內測量介電薄膜的復介電常數,分辨率為1.5 GHz。除了FPOR夾具外,還需要一臺雙端口R & S?ZNA26矢量網絡分析儀 (VNA) 和一臺電腦,就可以自動、快速、簡單地完成測量。在D頻段進行測量時,還需要使用一個波導適配器將兩臺R & S?ZC170毫米波變頻器連接到同軸耦合的FPOR。
被測材料 (MUT) 的特性分析是在FPOR的連續奇數高斯模式下進行的,該模式表示為TEM0,0,q,其中q是縱向模式階數。MUT通常準確位于諧振器的中間,即電場最大值處的高斯束腰。將MUT插入FPOR的專用聚碳酸酯樣品支架上,樣品支架中間有一個圓形開口(外徑 < 50毫米)。如果樣品適合FPOR,則測量是非破壞性的,無需對MUT進行特殊準備。
原始測量數據(特別是因插入MUT而引起的諧振頻率和相應Q因子的變化),可分別轉化為介電常數 (Dk) 和損耗因數 (Df)。對于Dk,在預處理階段使用FPOR的電磁 (EM) 模型計算諧振頻率與MUT厚度和Dk的函數關系的查找表。
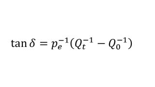
一旦評估出MUT的Dk,就可以用下面的公式計算出相應的Df:

您的任務
您需要了解自己生產或從第三方制造商處購買的材料介電片的微波特性。這些知識對于優化材料生產工藝或設計毫米波電路(例如用于6g技術)都非常有用。
這些材料包括聚合物(例如聚丙烯、聚氯乙烯)、PCB基板(例如FR-4、RT5880)、玻璃(例如熔融石英、硼硅酸鹽)或單晶硅片(例如石英、藍寶石)。材料的損耗正切可低至1 × 10-4,但仍能在110 ghz至170 ghz范圍內進行精確測量。如果非諧振測量夾具(例如基于自由空間或波導的解決方案)無法滿足您的D頻段測量要求,可以嘗試使用法布里珀羅開放式諧振器 (FPOR)。
Qt是有樣品時諧振器的Q因子,Q0是無樣品時諧振器的Q因子,pe表示MUT的電能填充因子。后者使用頻率遞增規則進行評估。
介電常數和損耗正切的測量
Dk不確定度主要且幾乎直接受MUT厚度不確定度的影響。例如,1% 的厚度不確定度會導致約1% 的Dk不確定度。如果保持良好的測量條件,Dk測量方法本身的精度可達到0.25%。此外,熱漂移引起的波動也會得到補償。
Df不確定度取決于許多因素,如MUT的厚度、Df級、矢量網絡分析儀設置和振動。不過,Q因子遠大于200,000,即使對于損耗低至1 × 10-4的材料,也能實現優于 ± 5% 的不確定度。
由于FPOR中利用的高斯模式是線性極化的,因此可以測量樣品的面內各向異性,其他諧振方法無法做到這一點。由于物理結構(如晶體)或材料加工(如某些聚苯乙烯薄膜)的原因,各類材料都會表現出這種面內各向異性。如果將這樣的樣品任意插入FPOR,很可能會發生模式分裂,進而出現兩個諧振頻率。在這種情況下,必須旋轉樣品,直到其中一條諧振曲線消失。然后可以繼續進行復介電常數測量。接著將樣品再旋轉90度,重復整個過程。通常情況下,Df不像Dk那樣表現出各向異性。

不同材料在D頻段的Dk

具有面內各向異性的高抗沖聚苯乙烯 (HlPS) 的Dk

不同材料在D頻段的Df

具有面內各向異性的高抗沖聚苯乙烯的Df
技術支持















關注官方微信
