是德示波器4000X 系列如何進行探頭補償
我們以是德科技 4000X 系列示波器標配探頭為例演示如何在進行補償調整探頭。 將探頭接入示波器探頭補償信號端子,分別調節探頭上的螺絲孔,可對探頭進行低頻補償達到近似理想方波的波形。
1 輸入探頭補償信號

2 按下 [Default Setup] 缺省設置調用默認示波器設置
3 按下 [Auto Scale] 自動設置以自動配置示波器,以便捕獲探頭補償信號
4 按下探頭所連接的通道鍵 ([1]、[2] 等)。
5 在 " 通道菜單 " 中,按下探頭。
6 在 " 通道探頭菜單 " 中,按下探頭檢查,然后按照屏幕上的說明操作。
如果需要,使用非金屬工具 (探頭附帶)調整探頭上的微調電容器,以獲得 盡可能平的脈沖。 在 N2894A 探頭上,微調電容器位于探頭 BNC 連接器上。

7 將探頭連接到所有其他示波器通道(2 通道示波器的通道 2 或 4 通道示波器 的通道 2、3 和 4)
8 對每個通道重復執行此程序
示波器探頭補償實測:如何補償 10:1 無源探頭?
探頭和示波器的此電子模型顯示(如下圖)

連接到示波器的 1 MΩ 輸入阻抗的 10:1 無源探頭的簡化示意圖
當前我們只觀察阻性組件時,我們已確定探頭的 9 MΩ 探頭端部電阻以及示波器的 1 MΩ 輸入阻抗建立了 10:1 分壓器比率。對于低頻或直流電應用,忽略電容元件是比較適宜的。但是,如果您需要測量動態信號 (示波器的主要測量應用),則不能忽略此電子模型的電容元件。
所有示波器探頭和示波器輸入中本身都固有寄生電容。這些包括探頭電纜電容 (C 電纜),以及示波器的輸入電容 (C 示波器)。
“固有/寄生”僅意味著電子模型的這些元件非有意設計,而是真實電子世界中原本就存在的。固有/寄生電容的數量隨著示波器的不同和探頭的不同而異。但是,如果沒有其他的設計電容組件來補償系統中固有的電容元件,則系統在動態信號條件 (非直流)下的阻抗會從探測系統的整體動態衰減改為不同于所需的 10:1 比率。沿著可調補償電容 (C 組件)分布其他/設計的探針電容器 (C 探針)的目的是建立與 10:1 的阻性衰減匹配的電容阻抗衰減。正確調整補償電容時,這還可以確保與 9 MΩ 電阻器并列的探針電容的時間常數,和與示波器的 1 MΩ 輸入電阻器并列的固有和補償電容的時間常數匹配。
我們會將通道 1 探頭連接到其他端子:
1 將兩個 示波器探頭連接到標記了示波器探頭補償的端子。請注意,這與稱為 Demo2 的端子也是同一個端子。
2 按下示波器前面板上的 [默認設置]。
3 將通道 1 設置為 1.0 V/div。
4 將通道 1 偏移/位置設置為 0.0 V(默認設置)。
5 按觸發電平旋鈕,以將通道 1 上的觸發電平設置為約 50%。
6 按 [2] 前面板鍵以打開通道 2。
7 將通道 2 設置為 1.0 V/div。
8 將通道 2 偏移/位置設置為約 +3.5 V。
9 將示波器的時基設置為 200.0 μs/div。
如果正確補償了探頭,則應在示波器顯示屏上看到兩個帶有平坦響應的 1 kHz 方波,與下圖類似。現在,讓我們調整每個探頭上的探頭補償。
使用示波器的 1 kHz 探頭補償信號補償 10:1 無源探頭
10 使用小的“一字”螺絲刀,調整位于每個探頭主體上的可變電容器。請注意,
此調整有時位于一些探頭的 BNC 連接端附近。
下圖(不當補償的探頭)顯示了通道 1 探頭(黃色波形)補償過度的示例,以及通道 2 探頭(綠色波形)欠補償的示例。如果您沒有觀察到近乎完美的方波,則應重新調整探頭上的探頭補償,直到示波器上的波形與上圖類似。

不當補償的示波器探頭
正確調整探頭后,只要在此示波器上繼續使用這些探頭,在下次使用示波器時應該就不需要重新調整它們了。
此時,您已完成了本實驗的實踐部分。如果您趕時間,并需要完成本章中最后一個實驗,則應跳到實驗 #6,然后讀取本實驗后面其余部分的內容。
如何計算示波器探頭電容補償的正確數量?
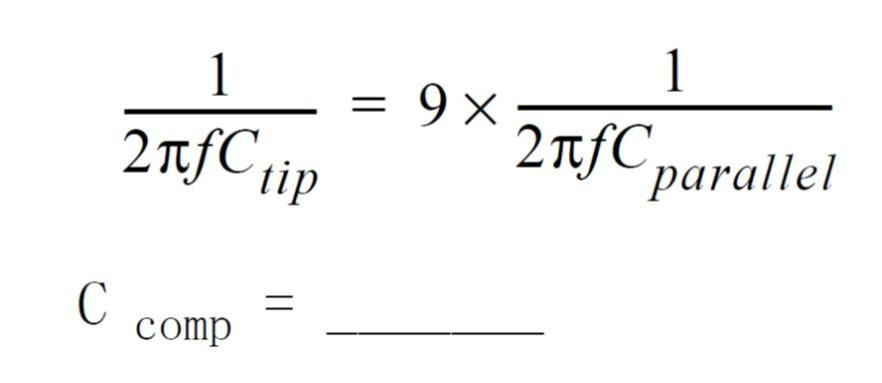
如果您面臨挑戰,請使用以下假設條件計算正確補償所需的補償電容 (C comp) 數量:

對于計算所需的補償電容 (C comp) 數量,最早的方法是使 R tip 和 C tip 并聯的時間常數 (1/RC) 與 R scope 和 C parallel 并聯的時間常數相等。
請記住,C parallel 是探頭/示波器模型中的三個電容元件的組合。
另一種計算方法是使 C parallel 的電容阻抗的 9 倍與 C tip 電容阻抗的 1 倍相等。這將建立電容阻抗產生的衰減常數,與僅阻性網絡 (10:1) 產生的衰減常數相同:

技術支持















關注官方微信
