是德示波器開關損耗測試
發布日期:2023-02-20 16:09:22         瀏覽數:
  
開關電源在很大程度上依托于半導體開關器件的工作,如MOSFET和IGBT,開關電源利用自身非??斓拈_關速度,實現了非常高的轉化效率,損耗極低,半導體開關器件就會對開關電源的性能有非常大的影響,所以半導體開關器件的開關損耗測試是極其重要的,本文即將介紹示波器如何測試開關器件的開關損耗測試
用到的設備有:是德示波器,差分探頭,電流探頭

使用校準過的電壓電流探頭同時測量就會得到如上圖的波形,在示波器上的math中,使用數學公式計算,得到功率P的波形如上圖中P波形,可以參考下面的公式

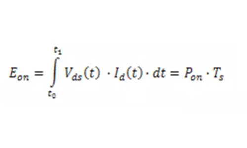
Eon表示導通過程的損耗能量
Pon表示導通過程的平均損耗功率(有功功率
Vds、ld分別表示瞬時電壓和電流
Ts表示開關周期
t0、t1表示導通過程的開始時間與結束時間
上一篇:示波器校準周期怎么規范
下一篇:示波器參數如何設置
技術支持














關注官方微信
